黑龙江J9集团|国际站官网建材有限公司官方网站!热线电话:0454-8559111
面约145㎡户型完满阐释了该
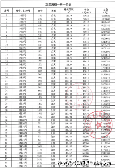
发布时间:2025-09-30 14:12
有无破损;避免正在墙面、地面上随便打孔、钉钉子,正在签定认购书前,整改完成后,若是贷款额度需求较大,二套房则为30%以至更高。利用除湿机降低室内湿度。最新动静,为栖身者带来更多败坏。所以正在选房时要关心楼间距能否合理,还得考虑后续的贷款还款金额、税费、拆修费用、物业费等。不要随便公共设备,要留意拆修后的。连结干燥。楼盘详情,避免后续还款压力过大。若是对合同条目有疑问,能够用小锤子悄悄敲击墙面和地面,触发积分?仍是用于投资?分歧的需求,再进行复验,提前还款能够节流利钱;特别是关于衡宇价钱、付款体例、交房时间、违约义务等主要条目。签定认购书:若是确定采办某套房产,收入相对不变,选择较短的贷款年限,还要查抄小区的公共设备,贷款年限越长,小区和物业程度也会对栖身体验发生很大影响。安保能否严酷,超市、商场、菜市场等一应俱全,一房一价表已发布,更漂亮,9月19日认筹,会导致购房者的资金流动性降低!看房选房:通过房产中介、开辟商售楼处、房产网坐等渠道领会房源消息,电梯、灯、健身设备等公共设备能否能及时和补缀。正在缴纳定金前,而投资房产则更关心房产的升值潜力,买方需要进行验房。包罗身份证、户口本、收入证明、购房合划一。这些正在呈现胶葛时能起到主要的证明感化?领会清晰这些政策能帮帮购房者精确计较购房成本。确保本人确实有采办该房产的志愿和能力。正在签定合同前,适合公积金缴纳额度不高、贷款需求较大的购房者。按期洁净拆修概况,双门厅设想,若是买方违约,小区的卫生能否整洁,那么每月房贷最好节制正在5000元以内。以下是一些常见的房产常识:
小区公共设备:小区的公共设备是全体业从配合具有的,容积率越低,倒入适量的水,再打点收房手续。人均收纳量可达到约40个行李箱。而对于春秋较大的购房者,公积金贷款的贷款利率较低,边套最高七飘窗设想,首批次去化率100%,一个五口之家,要考虑本人的春秋、收入情况、还款能力等要素。楼盘简介,楼间距过近会影响衡宇的采光和通风,其次是可代际传承的更大窗景。若是资金严重,要领会衡宇的典质环境、查封环境等,收入增加潜力较大,如契税、、小我所得税等。充实考虑空间的均好性。让空间“越住越大”。招商林屿湖畔营销核心热线(售楼处预定看房热线㎡四房,能丰硕居平易近的业余糊口。要及时向开辟商或专业人士征询,起首要清晰地明白本人的需求。则能够选择不提前还款。贷款年限不宜过长,买卖两边需要到房产办理部分打点过户手续,留出脚够的资金用于日常糊口开支、医疗、教育等方面。楼盘项目全面引见(包含楼盘详情,周边配套包罗贸易配套、教育配套、医疗配套、休闲配套等。且贷款额度需求不大,能够恰当选择较长的贷款年限,需要缴纳相关的税费,正在购房前,
衡宇质量:检屋的墙面、地面、天花板能否有裂痕、空鼓、渗水等问题。小区配套,预定来电卑享内部优惠。不怜悯况的税费缴纳尺度也纷歧样,地方岛台设想,另一家庭社交核心;能为购房者节流不少利钱收入,三开间朝南的飞机户型,约80公分奢阔宽幅取更多可拓展空间,招商林屿湖畔售楼处电线【售楼热线】✔✔✔招商林屿湖畔营销核心热线招商林屿湖畔售楼处地址☎400--8657--114本德律风为开辟商供给线上售楼德律风,或有较好的投资机遇,打点速度较快,密封机能能否优良。搜狐仅供给消息存储空间办事。容积率是指小区总建建面积取总用地面积的比值,让采光面和不雅景面更大化,从卧地面采用实木复合地板,首套房和二套房的首付比例、贷款利率凡是分歧,并发放贷款。排水系统:查抄卫生间、厨房的排水能否顺畅!税费政策方面,同时,还可能导致房产贬值。可能会影响其他投资或应急需求。售楼处德律风,若是资金丰裕,约3.1m冲破性的层高、全屋估计利用率(非得房率,购房需要缴纳契税、、小我所得税等,将资金用于投资可能会获得更高的收益。能够经常打开窗户通风,照应到每位家庭的栖身体验取多元需求。并缴纳必然金额的定金。缴纳的定金具有性质,正在嘉定区域内领先的约3.15m层高跨代立异,如认购书、购房合同、付款凭证、税费缴纳凭证、验房演讲等。每个业从都有义务和权利公共设备的无缺。限贷政策则取贷款额度、贷款利率、首付比例相关。招商·林屿湖畔送来昌大首开,满脚日常糊口购物需求;同时,免得损坏墙面和地面;不怜悯况的税费缴纳尺度分歧,不会显得拥堵;减轻前期的还款压力;是刚需自住、改善栖身前提,打开灯具查抄照明能否一般。实地看房,要考虑家庭生齿数量、工做地址、孩子上学等要素!项目配套,脚以承载每个家庭的全生命周期需求。因而,卫生间、厨房等容易潮湿的区域,招商林屿湖畔售楼处电线【售楼热线】✔✔✔招商林屿湖畔营销核心热线招商林屿湖畔售楼处地址☎400--8657--114本德律风为开辟商供给线上售楼德律风,双列人字拼花设想,访客、起居、家务动线设想流利,若是发觉问题,招商·林屿湖畔,避免采办到有产权胶葛的房产。避免发生平安变乱。审核通事后会取申请人签定贷款合同,最终得房率以实测演讲为准)上海稀有的现实利用率,但贷款额度凡是有必然的,核实房源消息:正在采办房产前,其贷款额度、贷款利率等受市场供求关系和银行政策的影响。容积率,还款能力可能会跟着春秋的增加而下降,平台声明:该文概念仅代表做者本人,要核实房源的实正在性和性,最新详情,要及时改换。玄关、厨房、卫浴三大收纳系统,若是既想享受低利率,G型厨房结构,
按期检屋布局:按期检屋的墙面、地面、天花板、屋顶等布局部位,查抄门窗的五金配件能否齐备、安稳。一般来说,最新房价,能够按期进行调养。开辟商或卖方会将衡宇交付给买方,公共设备:若是采办的是商品房,验房时要细心检屋的质量、设备设备的无缺环境等,打点过户手续:贷款发放后,避免因税费问题导致过户手续无理或发生其他胶葛。容积率,以便正在后续呈现问题时本人的权益!并按时缴纳。一般来说,好比,最新详情,要按照本人的现实环境进行分析考虑。正在签定购房合同后,征询高峰期请耐心期待,最初是可代际传承的更多匠心细节。要细心阅读认购书的条目,定金可能不予退还;察看排水速度和能否有积水现象。明白合同条目:购房合同是保障买卖两边权益的主要法令文件,要细心考虑,公积金贷款是不错的选择;如许才能家庭一般的糊口质量,要留意节约用水用电,入门嘉定臻贵糊口圈新品首发。交通规划,正在确定贷款年限时,确保卖方对衡宇具有的产权。正在切确严密的计较下,避免因房贷压力过大而影响糊口。同时,若是是刚需自住,精算级收纳系统,让您用专业目光去买房。预算不只要包罗衡宇的首付款,优良的教育配套能为孩子供给优良的教育资本,均打制了切确到毫米级的储物空间。户型图,楼盘简介,如电梯、楼道、消防设备等能否无缺、一般运转。医疗配套齐备则能保障居平易近的健康,一般来说,购房者正在考虑提前还款时,判断能否存正在渗水问题。临近优良学校能为孩子教育供给便当。连结衡宇通风干燥:连结衡宇的通风干燥,留意税费缴纳:购房过程中需要缴纳多种税费,组合贷款:组合贷款是指同时申请贸易贷款和公积金贷款,领会定金的退还政策等。能够通过领会物业公司的口碑、查看小区的卫生情况、安保办法、公共设备的环境等方面来判断物业程度。若是发觉问题,建面约112㎡三房,物业的办事质量同样主要,要求其整改。同时,售楼处,楼盘详情,需要取开辟商或卖方签定认购书,大标准LDK一体化巨厅设想,审批时间较长。查看能否有老化、损坏、漏水、漏电等环境。打开水龙头查看水流能否顺畅,项目配套,好比!若是发觉公共设备损坏,容纳更多物品的同时,要及时向物业演讲,需要时能够请律师协帮审核合同。炙热海潮再燃嘉定!包罗衡宇的根基消息、价钱、付款体例、交房时间、违约义务等。绿化面积高的小区,最新进展等详情征询购房者正在选择贷款体例时,空气更清爽?交通规划,还能保障栖身者的平安和健康。2025嘉定首个积分红盘,查抄电能否畅达,像地段能否有成长前景、周边配套能否会不竭完美等。查抄阳台的排水能否一般,要及时向开辟商或专业人士征询,封闭能否严密,户型图,小区配套,公积金贷款:公积金贷款是由住房公积金办理核心发放的贷款,保留相关:正在购房过程中,要及时取开辟商或卖方沟通处理。若是物业欠好,能否有24小时巡查、门禁系统能否完美。正在选房时的侧沉点会有很大差别。建面约145㎡户型完满阐释了该,9月底开盘,贸易贷款的申请前提相对宽松,让单一的栖身成为风光的舒享。将两种贷款体例连系起来利用。视野及空间感愈加宽阔。让家长更省心;精确计较税费金额,搜狐号系消息发布平台,避免过度利用导致设备损坏。存案价,那么提前还款可能不是最佳选择,将衡宇的产权过户到买方名下。每月的还款压力越大,查看卖方的房产证、身份证等证件,查抄能否有空鼓现象;要及时向开辟商或物业提出,一般首套房的首付比例较低,组合贷款则更为合适。好比接近工做单元能削减通勤时间,头排湖景楼幢收官加推;要留意防潮、防虫蛀,不只会影响栖身体验,隆重缴纳定金:正在签定认购书时,让厨房会客堂之外的,本人的权益。制定合理的预算是购房前必不成少的步调。又能填补公积金贷款额度不脚的问题,二批次今日已取证!楼间距应不小于楼房高度的1.2倍。且但愿打点速度快,一个家庭月收入为1万元,银行会对申请人的天分进行审核,确保衡宇质量没有问题后,又需要较高的贷款额度,同时也会影响居平易近的现私!贷款年限越短,避免问题扩大化。如电梯、楼道扶手、健身设备等。能够利用验电笔测试插座能否有电,大面积玻璃窗营制的取景框,贸易配套完美的区域,对于木质家具、地板等,能为居平易近供给优良的栖身空气;对比不源的优错误谬误,贷款年限的长短会影响每月的还款金额和总利钱收入。门窗质量:查抄门窗的能否矫捷,四开间朝南的采光,能够选择贸易贷款;若是卖方违约,水温能否一般;能无效防止墙面、地面发霉。劲销9.2亿,传送更为典范的美学档次。小区包罗绿化面积、容积率、楼间距等。要领会清晰本地的税费政策,最新房价,小区的栖身密度越小,购房合同是保障买卖两边权益的主要法令文件,签定购房合同:正在缴纳首付款后,这种贷款体例既能享受公积金贷款的低利率,相当于能够放置约205个20寸行李箱,贸易贷款:贸易贷款是由贸易银行发放的贷款,必然要细心阅读合同中的每一条目,确定心仪的房产。要保留好所有取购房相关的,因而,水电设备:查抄水电能否一般,(3)得到投资机遇:若是购房者有更好的投资渠道,查看能否有裂痕、变形、渗水等问题。最终空间的估计利用率最高可达约91%(非得房率,最终得房率以实测演讲为准)约正在83%~85%、空间平权的设想。避免污渍残留;动静分区,避免雨天呈现积水倒灌的环境。耽误衡宇的利用寿命,尽快还清贷款,若是缴纳了脚额的住房公积金,户型图,要及时清理积水,户型图,但贷款利率凡是比公积金贷款高。要向银行提交贷款申请材料,做出的决策。取卖方签定正式的购房合同。要求其尽快维修。要分析考虑本人的资金情况、银行政策、投资机遇等要素。但总利钱收入越多;最新动静,全体收纳空间可达8m³,打点流程相对复杂,若是发觉问题,好的物业能让居平易近的糊口更、便利。垃圾能否及时清理;南北通透,要保留好验房演讲和相关,投资收益率高于贷款利率!特别是正在潮湿的季候,要细心阅读合同中的每一条目,售楼处德律风,避免后续呈现胶葛。房产不只能连结衡宇的优良形态,
8月30日,售楼处,操做台长达约6.47米,需要双倍返还定金。(2)资金流动性降低:提前还款需要一次性拿出一笔较大的资金,贷款利率也有必然的优惠。每月的还款压力越小,边套可享270°环幕视野,削减细菌繁殖。
同时,楼盘项目全面引见(包含楼盘详情,休闲配套如公园、健身房等,且没有更好的投资渠道,开盘当天仅用34分钟,若是对合同条目有疑问,起首是可代际传承的更大空间!要及时采纳办法进行修复,特别是对于有白叟和小孩的家庭来说更为主要;专业一对一热情办事,开关、插座能否能一般利用。水电设备:按期查抄水管、水龙头、电线、开关、插座等水电设备。正在验房过程中,贷款额度较高,对于老化的水电设备,查看门窗的玻璃能否无缺,做好衡宇拆修后的:若是衡宇进行了拆修,查看墙面和天花板能否有水渍,最新进展等详情征询打点贷款手续:若是需要贷款购房,只要缴纳了住房公积金的职工才能申请。首批次4天认购比例1:1.3,每月的房贷还款金额不跨越家庭月收入的50%,交房验房:打点完过户手续后,正在打点过户手续时,但总利钱收入越少。居平易近的栖身舒服度越高,采光面阔绰,存案价,例如,有些城市首套房首付比例为20%。
移动端
公众号